Halo, Apa kabar semuanya? Semoga hari kalian penuh semangat dan energi positif! Kali ini, kita akan membahas topik yang menarik sekaligus penting bagi para insinyur, arsitek, dan siapa saja yang tertarik dengan dunia konstruksi, yaitu cara menghitung kekuatan baja wf 200.
Kekuatan baja wf 200, dengan bentuk penampang yang khas dan kekuatan luar biasa, sering menjadi pilihan utama dalam pembangunan struktur yang kokoh dan tahan lama.
Yuk, sambil tetap semangat, kita gali bersama bagaimana cara mengetahui kekuatan baja W ini dengan tepat dan benar. Salam hangat untuk kalian semua! Silakan lanjut membaca untuk informasi lengkapnya.
Pengertian dan Fungsi Baja WF dalam Konstruksi
Baja WF adalah jenis baja profil yang berbentuk seperti huruf W dan F yang sering digunakan dalam konstruksi bangunan. Bentuknya yang unik membuat baja WF memiliki kekuatan dan kestabilan tinggi sehingga mampu menahan beban berat dengan efisien.
Fungsi utama baja WF dalam konstruksi adalah sebagai rangka utama bangunan, seperti balok dan kolom, yang mendukung struktur agar tetap kokoh dan aman. Selain itu, baja WF juga memudahkan proses pembangunan karena pemasangannya relatif cepat dan presisi.
Kelebihan lain dari baja WF adalah daya tahan terhadap tekanan dan gaya geser sehingga sering dipilih untuk proyek gedung bertingkat, jembatan, dan infrastruktur besar. Dengan segala keunggulan tersebut, baja WF menjadi solusi modern untuk konstruksi yang kuat dan tahan lama.
Faktor-Faktor Pengaruh Kekuatan Baja WF

Kekuatan baja WF sangat dipengaruhi oleh beberapa faktor penting yang saling berkaitan. Pertama, komposisi kimia baja berperan besar dalam menentukan kekuatan dan ketahanannya terhadap tekanan maupun beban berat.
Selain itu, proses pembentukan dan perlakuan panas seperti pendinginan cepat atau perlakuan tempering dapat meningkatkan struktur mikro sehingga membuat baja lebih kuat dan tahan lama. Faktor lain adalah ukuran dan bentuk penampang baja WF yang mempengaruhi distribusi gaya dan momen lentur.
Lingkungan sekitar juga berkontribusi, misalnya korosi akibat kelembapan atau paparan bahan kimia dapat melemahkan baja. Oleh sebab itu, pemilihan material dan perawatan yang tepat sangat penting untuk menjaga kekuatan dan keawetan baja WF dalam berbagai aplikasi konstruksi.
Layanan kami: Layanan Jasa Kontraktor
Metode Perhitungan Kekuatan Baja WF secara Akurat
Metode perhitungan kekuatan baja WF secara akurat sangat penting untuk memastikan struktur bangunan tahan lama dan aman. Proses ini melibatkan analisis tegangan dan deformasi yang terjadi pada baja saat menerima beban.
Teknik modern menggabungkan perhitungan matematis dengan simulasi komputer untuk memprediksi perilaku material secara tepat. Selain itu, faktor-faktor seperti kualitas material, kondisi lingkungan, dan stKamur keselamatan juga diperhitungkan secara cermat.
Dengan pendekatan ini, risiko kegagalan struktur dapat diminimalkan, sehingga hasilnya lebih dapat diandalkan dan efisien.
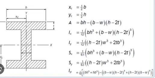
Rumus Dasar untuk Menghitung Kekuatan Baja WF
Rumus dasar untuk menghitung kekuatan baja WF sangat penting dalam dunia konstruksi agar struktur bangunan tetap kokoh dan aman. Baja WF memiliki karakteristik kekuatan tarik dan tekan yang tinggi, sehingga perlu perhitungan yang tepat.
Secara umum, kekuatan baja dihitung dengan mengalikan luas penampang baja dengan kuat leleh materialnya. Selain itu, faktor keamanan juga harus diperhitungkan untuk menghindari kegagalan struktur. Perhitungan ini membantu insinyur menentukan batas beban yang dapat ditanggung oleh balok baja WF, sehingga desain bangunan menjadi efisien dan tahan lama.
Dengan memahami rumus ini, pembangunan bisa lebih optimal dan meminimalisir risiko kerusakan.
Cara Menghitung Momen Lentur pada Baja WF

Untuk menghitung momen lentur pada baja WF, pertama tentukan gaya beban yang bekerja dan jarak titik beban dari tumpuan. Hitung luas penampang dan momen inersia baja WF, lalu gunakan rumus momen lentur M = F × d.
Pastikan memperhatikan satuan agar hasil akurat dan sesuai stKamur teknik. Analisis ini penting untuk memastikan struktur baja WF mampu menahan beban tanpa mengalami kerusakan atau deformasi berlebihan, sehingga keselamatan dan kekuatan bangunan tetap terjaga dengan baik.
Teknik Analisis Tegangan pada Baja WF
Bayangkan baja WF seperti tulang raksasa yang menopang gedung megah, di mana teknik analisis tegangan bekerja bak detektif cermat mengendus titik lemah tersembunyi. Dengan alat ukur dan simulasi canggih, tegangan diuji dari sudut tak terduga, menguak rahasia kekuatannya dalam bisu.
Setiap gaya tekan, tarik, dan geser dianalisis, bagaikan simfoni mekanik yang harmonis. Hasilnya bukan sekadar angka, melainkan jaminan keselamatan dan keindahan struktur yang berdiri kokoh menantang waktu.
Teknik ini mengubah baja WF menjadi pahlawan tak terlihat di balik megahnya arsitektur modern.
Perhitungan Daya Dukung Baja WF pada Struktur Bangunan
Perhitungan daya dukung baja WF dalam struktur bangunan sangat penting untuk menjamin kestabilan dan keamanan. Analisis ini mempertimbangkan beban, sifat material, serta kondisi sambungan agar struktur mampu menahan tekanan sesuai stKamur.
Dengan pendekatan tepat, baja WF memberikan kekuatan optimal dan efisiensi konstruksi, memastikan bangunan berdiri kokoh dan tahan lama.
Pengaruh Dimensi Profil WF terhadap Kekuatan Baja
Dimensi profil WF sangat memengaruhi kekuatan baja karena ukuran dan bentuknya menentukan distribusi beban dan kekakuan struktur. Profil yang lebih besar biasanya memiliki daya tahan lebih tinggi terhadap gaya tekan dan lentur.
Ketebalan dinding juga berperan penting dalam meningkatkan kapasitas menahan tegangan. Selain itu, dimensi yang tepat membantu mengurangi deformasi dan meningkatkan stabilitas keseluruhan. Kombinasi lebar, tinggi, dan ketebalan profil WF harus disesuaikan dengan kebutuhan beban agar struktur baja optimal dan aman digunakan dalam berbagai konstruksi.
Baca Juga: Jasa konstruksi baja di Bali
Akhir Kata
Menghitung kekuatan baja WF memang memerlukan pemahaman yang tepat agar hasilnya akurat dan dapat diaplikasikan dengan baik dalam konstruksi. Dengan menguasai cara perhitungannya, kita bisa memastikan struktur bangunan lebih kokoh dan aman.
Semoga penjelasan ini bermanfaat dan menambah wawasan Kamu. Sampai jumpa di artikel menarik lainnya, dan jangan lupa untuk membagikan informasi ini kepada teman-teman Kamu. Terima kasih!

